• En Çok Görüntülenenler
  • Güncel
  • Siyaset
  • Spor
  • Ekonomi
En Çok Görüntülenenler
Haber7 Foto Galeri
HABER7'YE DÖN
  • Anasayfa
  • GÜNCEL
PAYLAŞ

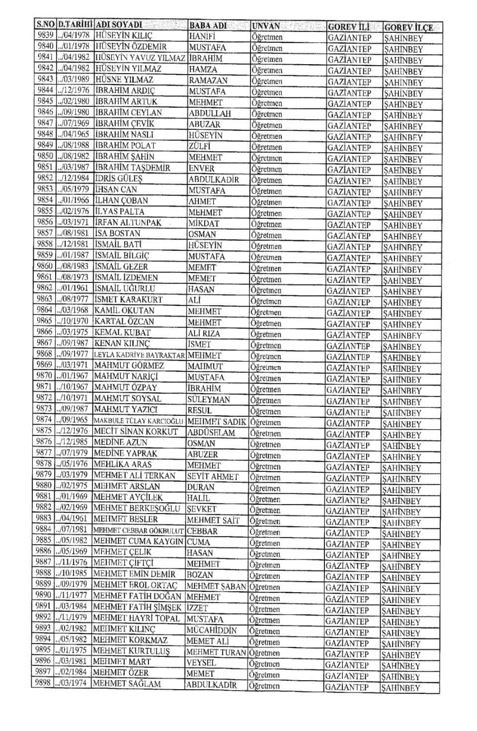
İşte kamuda ihraç edilenlerin tam listesi

02.09.2016 12:40
GALERİLER
1
Fiat Doblo Türkiye'ye dönüyor! Yatırım için kolları sıvadılar
1 - Fiat Doblo Türkiye'ye dönüyor! Yatırım için kolları...
2
Fiyat-Performansta zirveye oynuyor! İşte Redmi Note 14 Pro 5G'nin özellikleri...
2 - Fiyat-Performansta zirveye oynuyor! İşte Redmi Note...
3
Ruhsatına bakmadan gerçek modeli anlaşılmıyor!
3 - Ruhsatına bakmadan gerçek modeli anlaşılmıyor!
4
Emeklilik başvurusu nasıl, nereden yapılır? İşte 4A, 4B, 4C emeklilik başvuru süreci
4 - Emeklilik başvurusu nasıl, nereden yapılır? İşte 4A,...
5
Ünlü radyocudan anlamlı şiir!
5 - Ünlü radyocudan anlamlı şiir!
6
Gazze'de bir ressamın günü
6 - Gazze'de bir ressamın günü
7
36'lık fil ikiz annesi oldu
7 - 36'lık fil ikiz annesi oldu
8
Japonya'da üretilen robot, zeka küpü rekorunu kırdı
8 - Japonya'da üretilen robot, zeka küpü rekorunu...
9
Kaval olmadan kaval sesi çıkaran eski çoban şaşırtıyor
9 - Kaval olmadan kaval sesi çıkaran eski çoban...
10
Metrobüs üstgeçidinde yoğunluk izdihama dönüştü
10 - Metrobüs üstgeçidinde yoğunluk izdihama...
Haber7
© 2025 Nokta Elektronik Medya A.Ş.